• Предмет: Алгебра
  • Автор: fnmrymb
  • Вопрос задан 9 лет назад

Помогите, пожалуйста, решить задание по алгебре:
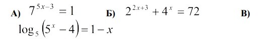
Решить уравнение

Приложения:

Ответы

Ответ дал: 23FEER
0
7^5x-3 =1
7^5x-3 = 7^0
5x-3=0
5x=3
x=0.6
Ответ дал: fnmrymb
0
спасибо) а другие можете, пожалуйста, помочь решить? :)
Вас заинтересует