• Предмет: Математика
  • Автор: Hunter068
  • Вопрос задан 9 лет назад

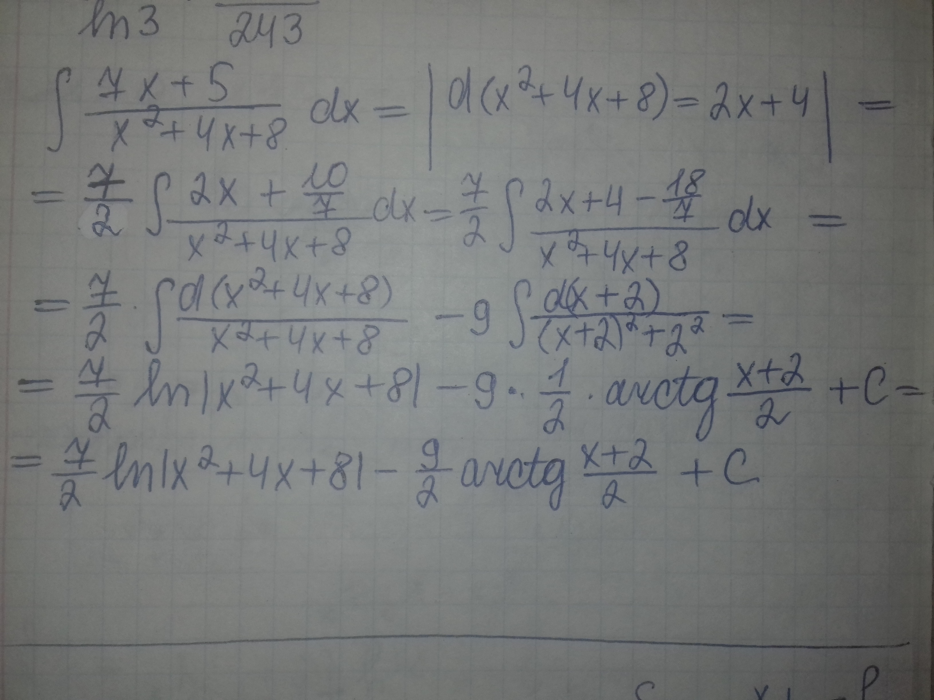
Найти неопределённый интеграл

Приложения:

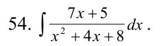
Ответы

Ответ дал: Скарлетт18
0
Расписала очень подробно
Приложения:
Ответ дал: Hunter068
0
ты золото :3
Вас заинтересует