Ответы
Ответ дал:
0
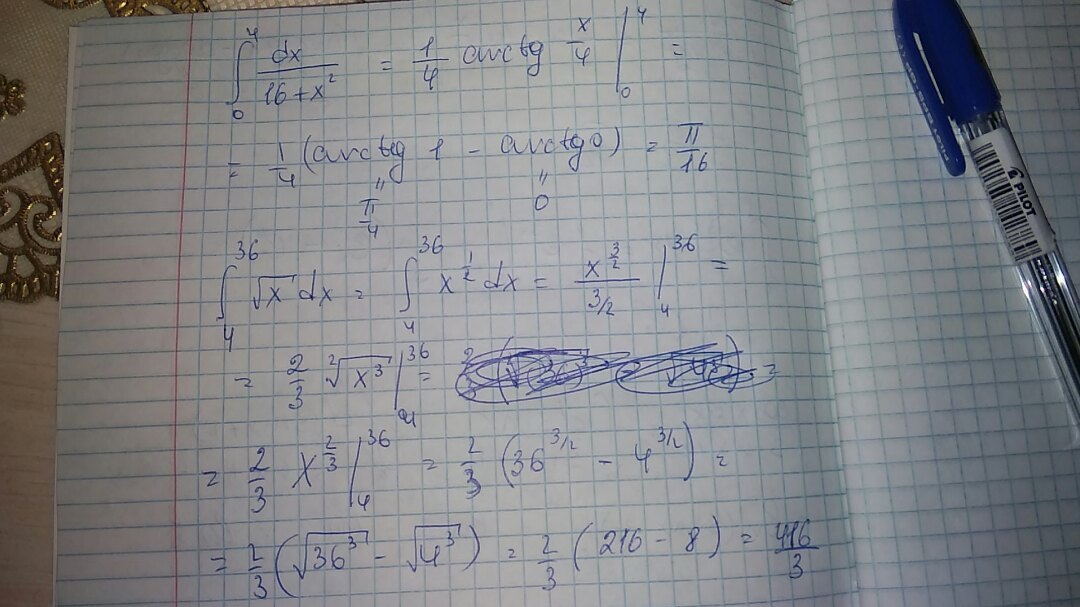
интегралы берутся по таблицам
Приложения:

Ответ дал:
0
всё-таки я правильно решил, спасибо большое)
Ответ дал:
0
Рассмотрите предложенный вариант решения.
Оба интеграла табличные. По возможности перепроверьте арифметику.
Оба интеграла табличные. По возможности перепроверьте арифметику.
Приложения:

Вас заинтересует
2 года назад
2 года назад
7 лет назад
9 лет назад
10 лет назад
10 лет назад