• Предмет: Алгебра
  • Автор: pulod3331
  • Вопрос задан 9 лет назад

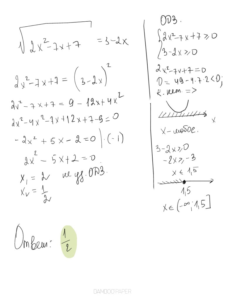
sqrt{ 2 x^{2} - 7 x + 7 } = 3 - 2 x

Ответы

Ответ дал: KseniaHarlequin
0
Решение данного задания
Приложения:
Вас заинтересует