• Предмет: Физика
  • Автор: Peestrooncheeck1814
  • Вопрос задан 9 лет назад

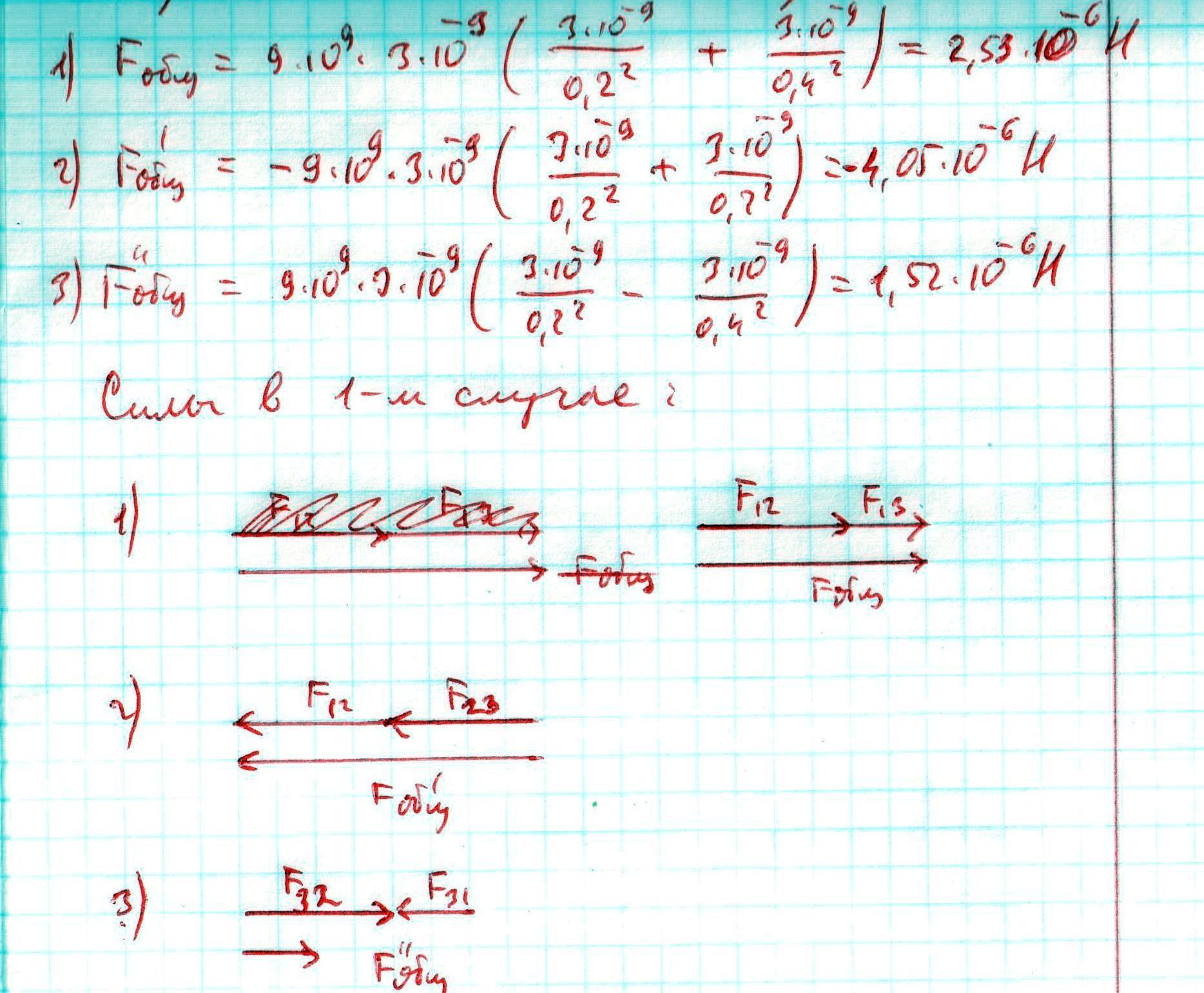
Три точечных заряда Q1=3·10-9 Кл и Q2= Q3 = -3·10-9 Кл расположены вдоль прямой так, что второй заряд Q2 находится между другими на одинаковом расстоянии а=20 см от них. Сравнить между собой модули сил, действующих на каждый заряд со стороны других зарядов, и в определенном масштабе изобразить векторы этих сил на схеме расположения зарядов.

Ответы

Ответ дал: valshev
0
Держи ответ в файле!
Приложения:
Вас заинтересует