• Предмет: Физика
  • Автор: yariklapa5140
  • Вопрос задан 9 лет назад

Помогите пожалуйста с задачей.
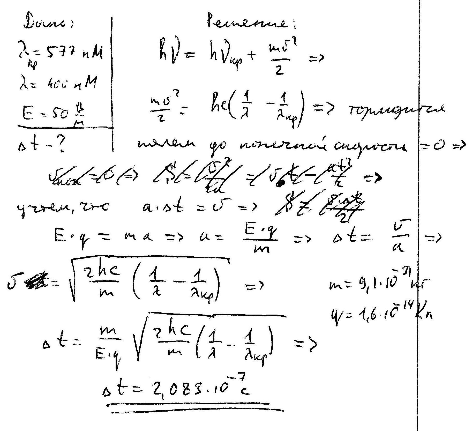
Красная граница фотоэффекта для калия = 577 нм. Поверхность калия освещается светом длиной волны = 400нм. Вблизи поверхности создано однородное тормозящее поле с напряженностью E=50В/м, направленное перпендикулярно поверхности. Через какое время после вылета из поверхности фотоэлектрон остановится? Считать, что электрон вылетает перпендикулярно поверхности и обладает максимальной скоростью.

Ответы

Ответ дал: valshev
0
Держи ответ в файле! 
Приложения:
Вас заинтересует