Ответы
Ответ дал:
0
1) пропорция
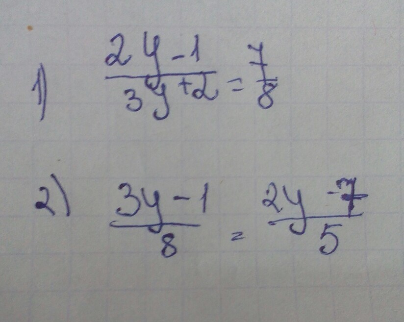
8(2y-1)=7(3y+2) 3y+2≠0 y≠-2/3
16y-8=21y+14
5y=-22
y=-22/5
y=-4,4
2) 5(3y-1)=8(2y-7)
15y-5=16y-56
y=51
8(2y-1)=7(3y+2) 3y+2≠0 y≠-2/3
16y-8=21y+14
5y=-22
y=-22/5
y=-4,4
2) 5(3y-1)=8(2y-7)
15y-5=16y-56
y=51
Ответ дал:
0
жестко ступил
Ответ дал:
0
Решение во вложении..
Приложения:
Вас заинтересует
7 лет назад
7 лет назад
10 лет назад
10 лет назад
10 лет назад
10 лет назад