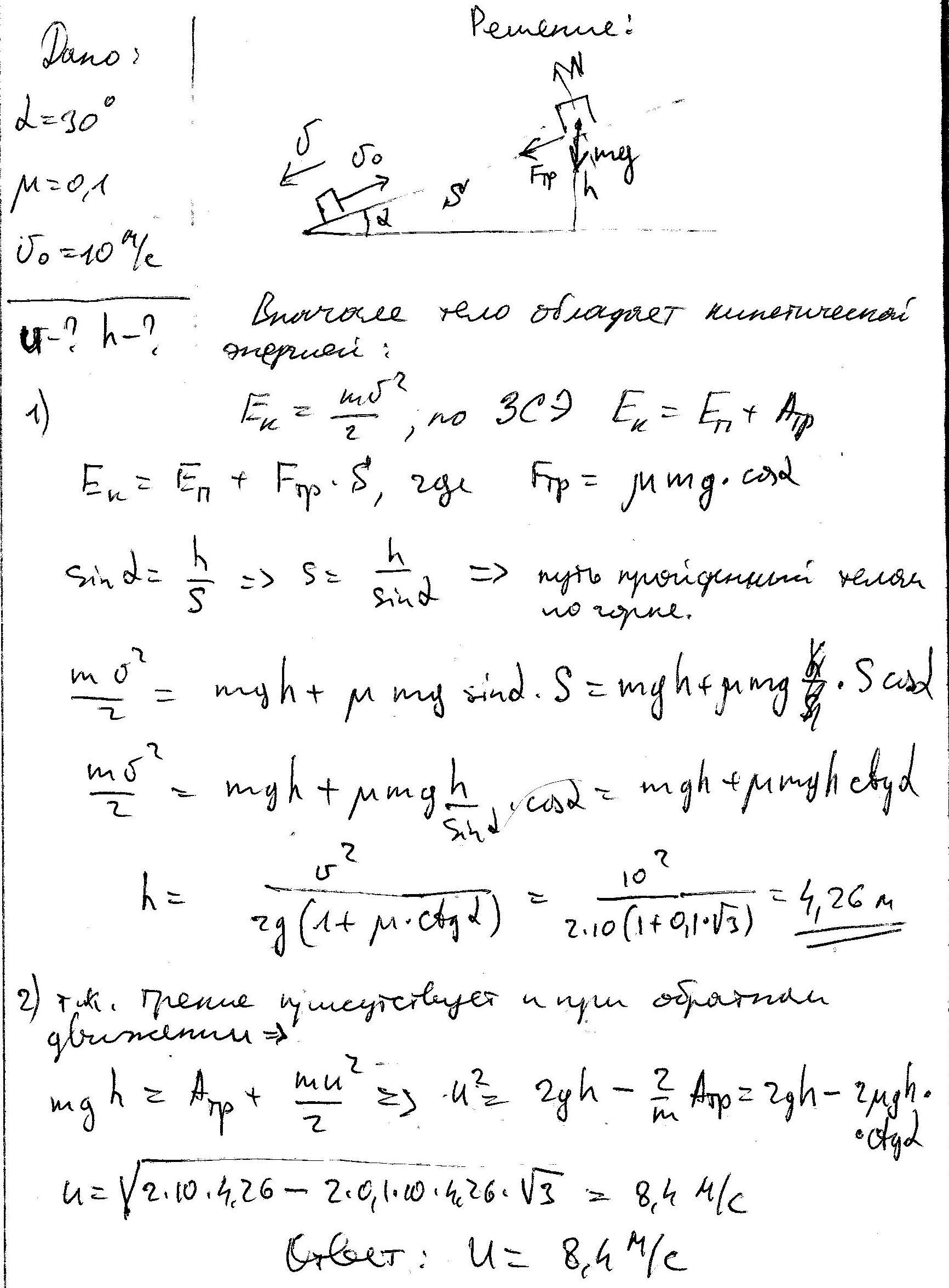
Ледяная горка составляет с горизонтом угол 30 градусов. Из некоторой точки по ней снизу
вверх движется тело с начальной скоростью 10 м/с; коэффициент трения скольжения 0,1.
Определите: 1) скорость тела при его возвращении в ту же точку; 2) высоту поднятия тела
Ответы
Ответ дал:
0
Держи решение в файле!
Приложения:

Вас заинтересует
2 года назад
2 года назад
7 лет назад
9 лет назад
10 лет назад