Ответы
Ответ дал:
0
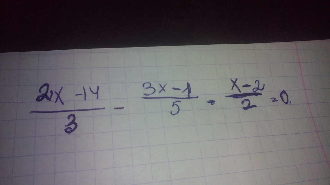
умножаем каждую часть уравнения на 30:

ответ: x=-8
ответ: x=-8
Вас заинтересует
2 года назад
2 года назад
7 лет назад
7 лет назад
9 лет назад
10 лет назад
10 лет назад