пожайлуста помогите срочноо!
исследуйте функцию на монотонность и экстремум( возрастание убывание)
Приложения:
Ответы
Ответ дал:
0
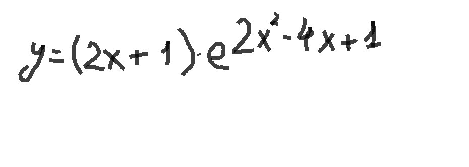
1) y' = 2*e^(2x² - 4x +1) + (2x +1)*e^(2x² - 4x +1) * (4x -4) =
=e^(2x² - 4x +1) (2 + (2x +1)(4x -4)) = e^(2x² - 4x +1) (2 + 8x² + 4x -8x -4)=
=e^ (2x² - 4x +1) ( 8x² - 4x -2)
2)e^ (2x² - 4x +1) ( 8x² - 4x -2) = 0
e^(2x² - 4x +1) = 0 или 8x² - 4x -2 =0
∅ 4х² -2х -1 = 0
х = (1 +-√5)/4
-∞ (1 -√5)/4 (1 +√5)/4 +∞
+ - + Это знаки производной.
возрастание убывание возрастание
х =(1 -√5)/4 точка максимума
х = (1 +√5)/4 точка минимума
=e^(2x² - 4x +1) (2 + (2x +1)(4x -4)) = e^(2x² - 4x +1) (2 + 8x² + 4x -8x -4)=
=e^ (2x² - 4x +1) ( 8x² - 4x -2)
2)e^ (2x² - 4x +1) ( 8x² - 4x -2) = 0
e^(2x² - 4x +1) = 0 или 8x² - 4x -2 =0
∅ 4х² -2х -1 = 0
х = (1 +-√5)/4
-∞ (1 -√5)/4 (1 +√5)/4 +∞
+ - + Это знаки производной.
возрастание убывание возрастание
х =(1 -√5)/4 точка максимума
х = (1 +√5)/4 точка минимума
Вас заинтересует
2 года назад
2 года назад
7 лет назад
7 лет назад
10 лет назад
10 лет назад