Ответы
Ответ дал:
0
Вот...................................................
Приложения:



Ответ дал:
0
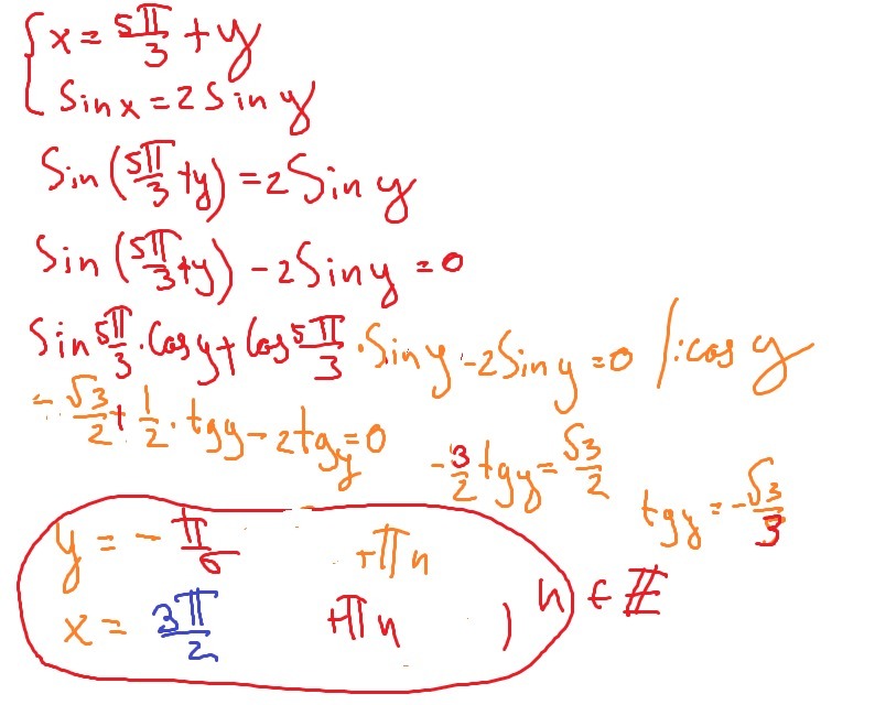
Решение дано на фото.Ответ :Х=5π/3-arc tg√3+πn;У=-arctg√3+πn;n∈Z
Приложения:

Вас заинтересует
2 года назад
9 лет назад
9 лет назад