• Предмет: Алгебра
  • Автор: nyutanowickowa
  • Вопрос задан 9 лет назад

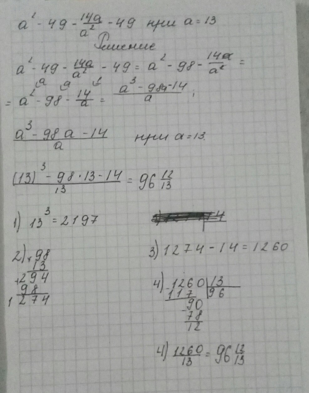
3. Сократите дробь а (в квадрате) + 49 - 14 а / а (в квадрате) - 49 и найдите ее значение при а = 13.

Ответы

Ответ дал: Shaherezada09
0
))))))))))))))))))))))
Приложения:
Вас заинтересует