• Предмет: Физика
  • Автор: Stasia0303
  • Вопрос задан 9 лет назад

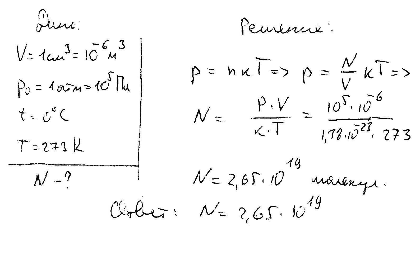
Скільки молекул знаходиться в 1см кубічном повітря за нормальних умов?

Ответы

Ответ дал: valshev
0
держи ответ в файле!
Приложения:
Вас заинтересует