• Предмет: Алгебра
  • Автор: natasha1351
  • Вопрос задан 9 лет назад

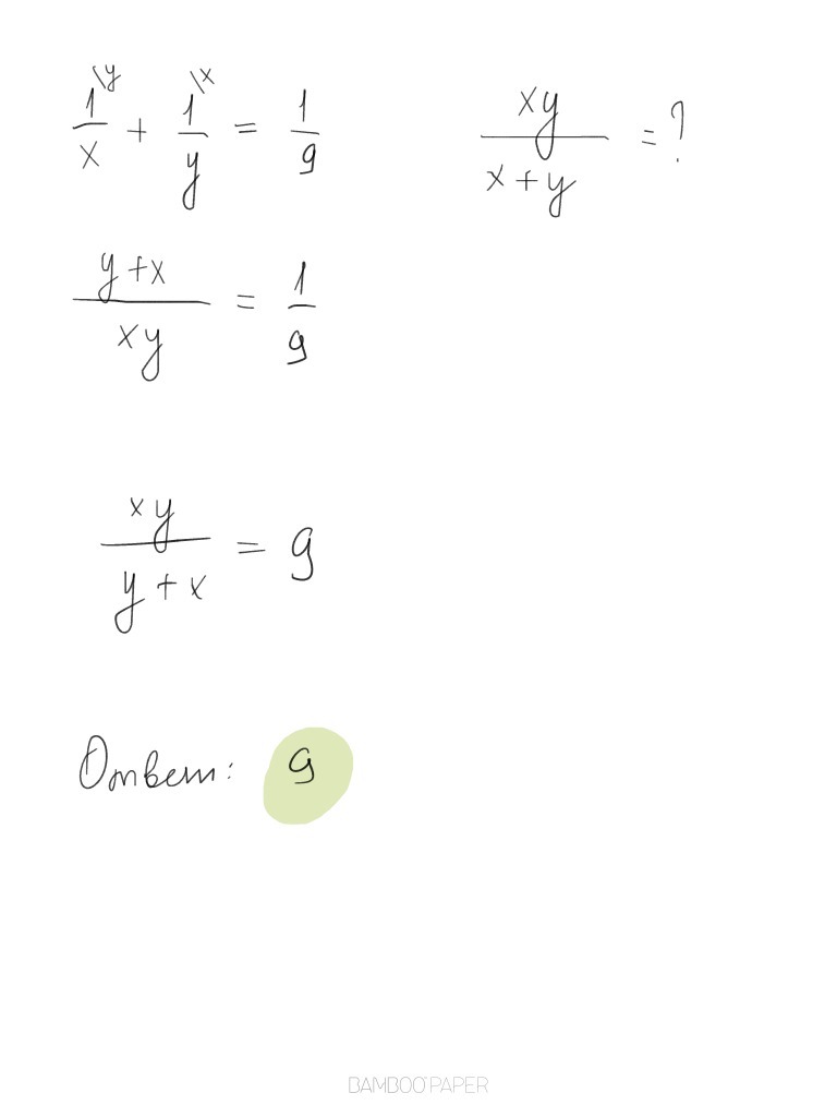
зная, что 1/x+1/y=1/9 найдите (x*y)/x+y

Ответы

Ответ дал: Аноним
0
 frac{1}{x}+ frac{1}{y}= frac{1}{9}  \  \  frac{x+y}{xy} = frac{1}{9}  \ xy=9(x+y)

подставляем:
 frac{xy}{x+y}= frac{9(x+y)}{x+y}=9
Ответ: 9
Ответ дал: KseniaHarlequin
0
Решение данного задания
Приложения:
Вас заинтересует