• Предмет: Физика
  • Автор: anton292
  • Вопрос задан 9 лет назад

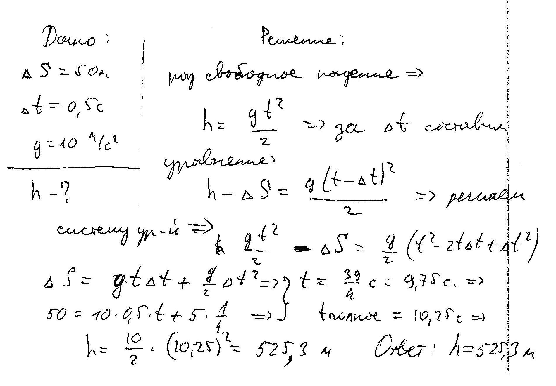
Свободно падающее тело проходит последние 50м. За 0,5с . Определите высоту падения тела. Ускорение свободного падения принять равным 10 и/см в квадрате

Ответы

Ответ дал: valshev
0
Держи решение в файле!
Приложения:
Ответ дал: anton292
0
К ободу однородного диска массой 5кг приложена постоянная касательная сила F=19,6 H. Определите кинетическую энергию диска через 5с после начала действия силы
Ответ дал: valshev
0
я решаю созданные задачи и про движение по окружности я уже решил
Ответ дал: anton292
0
Я вижу спасибо
Ответ дал: anton292
0
Реши про обод диска пожалуйста
Ответ дал: valshev
0
а радиус диска дан?
Вас заинтересует