• Предмет: Алгебра
  • Автор: yugolovin
  • Вопрос задан 9 лет назад

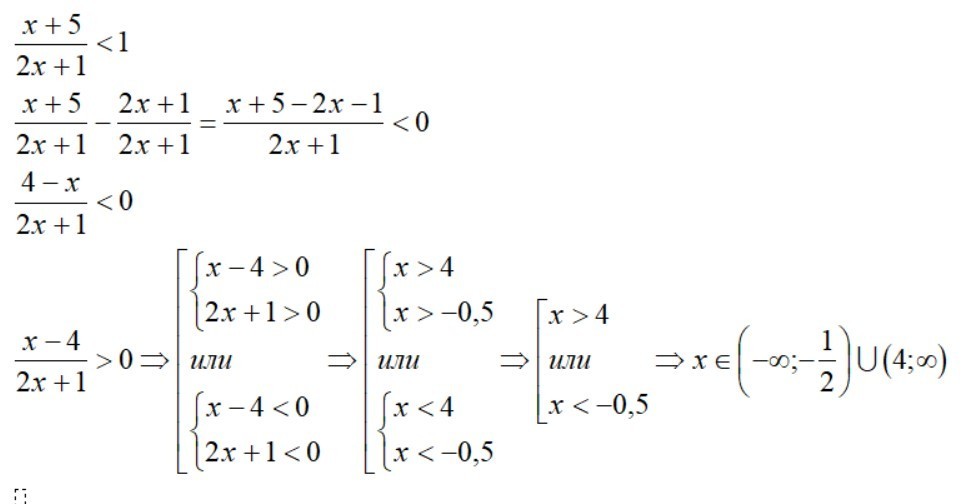
Решить неравенство displaystylefrac{x+5}{2x+1} textless  1

Ответы

Ответ дал: IUV
0
смотри решение во вложении
Приложения:
Ответ дал: yugolovin
0
Все правильно, хотя методом интервалов быстрее)) А с первым решением можете чтj-нибудь сделать?
Ответ дал: IUV
0
дадим возможность исправить ответ
Вас заинтересует