Ответы
Ответ дал:
0
Решение данного задания
Приложения:

Ответ дал:
0
прошу прощения, там "-" в скобке, сейчас поправлю
Ответ дал:
0
все исправила, это я невнимательно почему-то минус перед скобкой написала
Ответ дал:
0
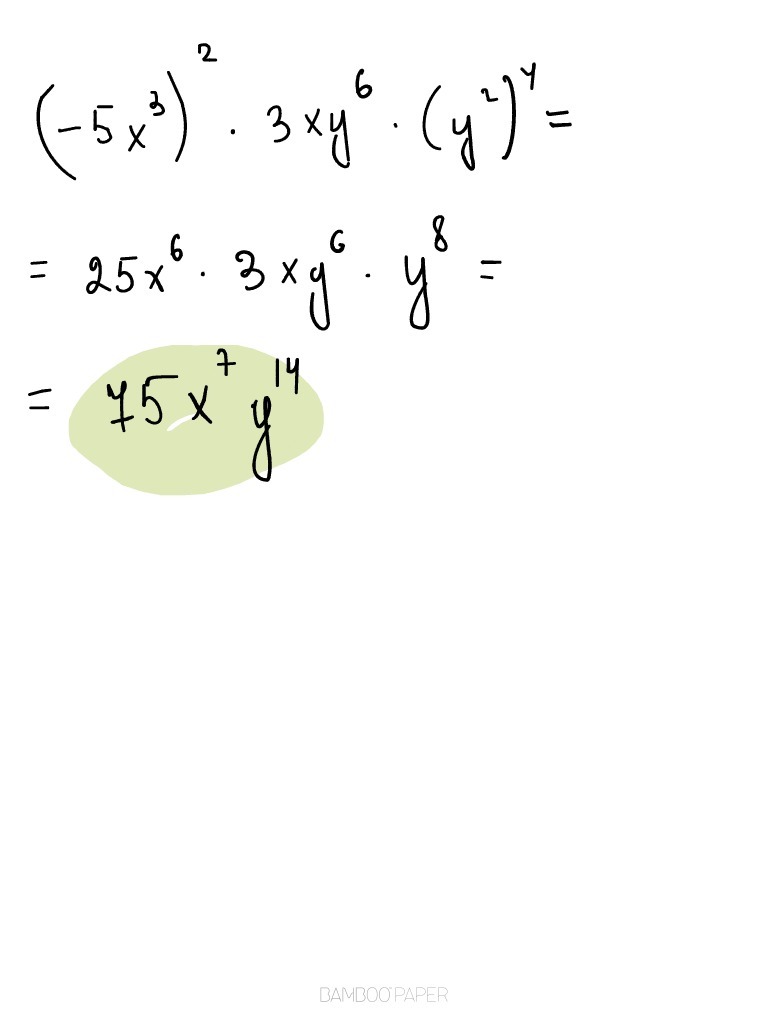
(-5)^2*(x^3)^2*(3xy^6)*(y^2)^4=25x^6*(3xy^6)*(y^2)^4=25*(3x^7y^6)*(y^2)^4=75x^7y^6*y^8= 75x^7*y^14
Приложения:

Вас заинтересует
2 года назад
2 года назад
6 лет назад
9 лет назад
10 лет назад