• Предмет: Математика
  • Автор: Alyako
  • Вопрос задан 9 лет назад

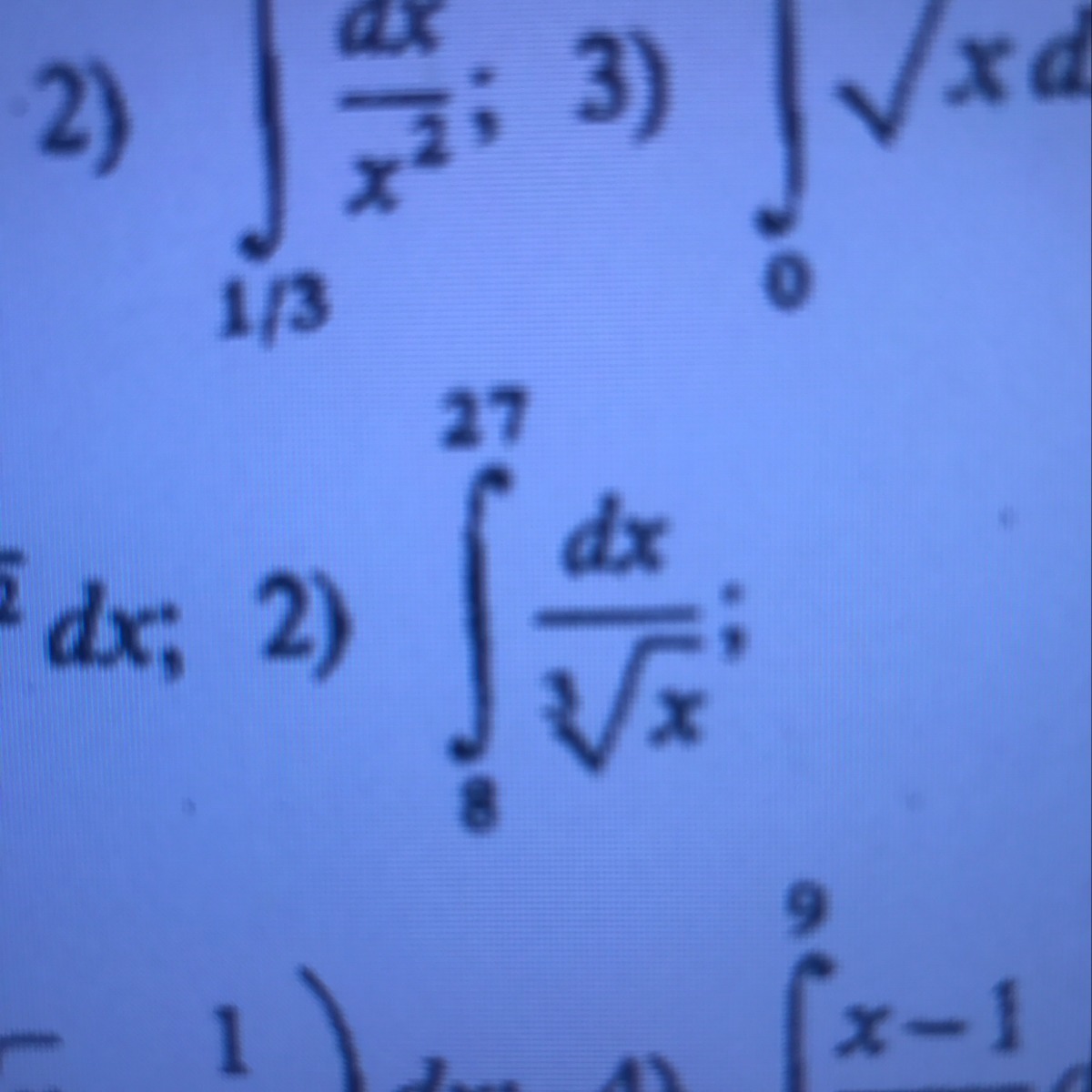
Вычислять определённый интеграл

Приложения:

Ответы

Ответ дал: Alexаndr
0
 intlimits^{27}_8 {frac{dx}{sqrt[3]{x}}} = intlimits^{27}_8 x^{-frac{1}{3}}=frac{3x^frac{2}{3}}{2}|^{27}_8=frac{3sqrt[3]{x^2}}{2}=frac{27}{2}-frac{12}{2}=frac{15}{2}=7,5
Вас заинтересует