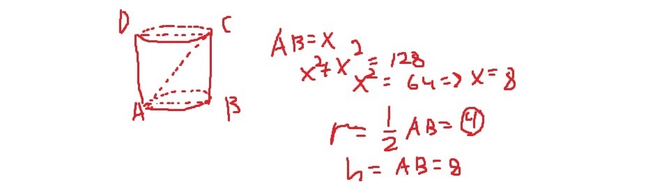
Найти высоту и радиус цилиндра,осевым сечением которого является квадрат с диагональю АС,равной 8√2см.
Ответы
Ответ дал:
0
Решение в приложении ниже:
Приложения:

Ответ дал:
0
Можно подробнее со действиями "рассмотрим"и т.п? По т.Пифагора.
Ответ дал:
0
Конечно. Смотри: по условию ABCD - квадрат. Значит, r=0.5h, h=ab=dc=ad=ab, возьмем за X любую сторону, например AB=X,тогда по теореме Пифагора имеем: гипотенузу равную 8 корней из 2 и 2 катета, которые мы взяли за X, по теореме Пифагора находим X=8. Значит h=8, а r=0.5h=4.
Вас заинтересует
2 года назад
2 года назад
6 лет назад
9 лет назад