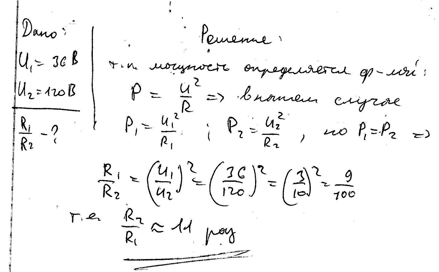
Две электрические лампы имеют одинаковую мощность. Одна из них рассчитана на напряжение U1= 36 B,другая - на напряжение U2=120B.Во сколько раз отличаются сопротивления ламп?
Ответы
Ответ дал:
0
Держи решение в файле!
Приложения:

Вас заинтересует
2 года назад
2 года назад
7 лет назад
7 лет назад
10 лет назад