• Предмет: Алгебра
  • Автор: qwertyqwert000
  • Вопрос задан 9 лет назад

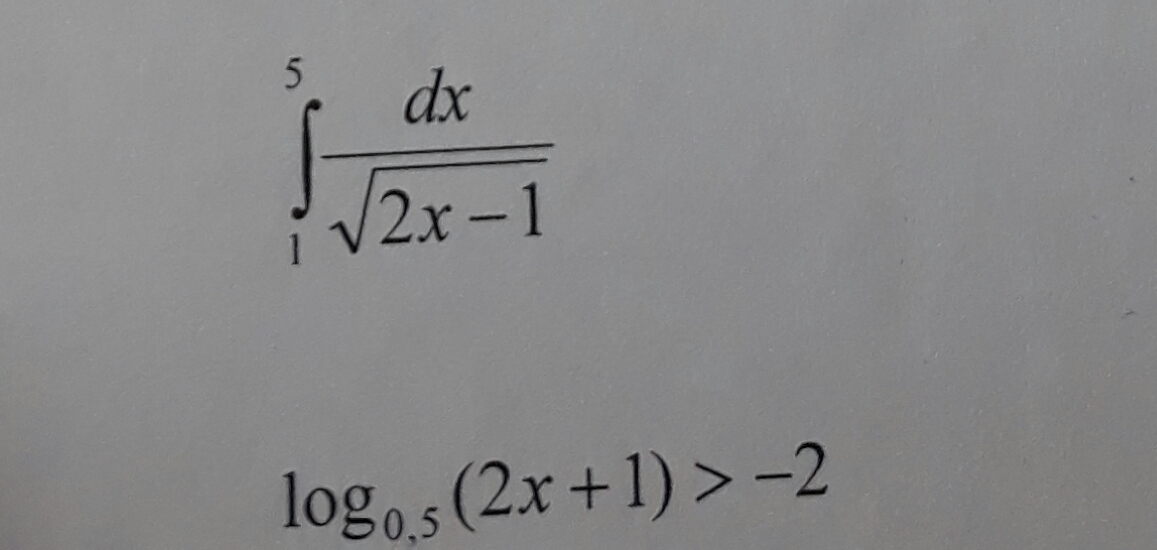
Помогите решить
1.определенный интеграл.
2.неравенство.

Приложения:

Ответа на этот вопрос пока нет. Попробуйте найти его через форму поиска.

Вас заинтересует