• Предмет: Математика
  • Автор: Anton15godikav
  • Вопрос задан 9 лет назад

ПОМОГИТЕ!ОЧЕНЬ НУЖНО

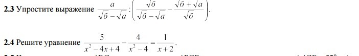
Приложения:

Ответа на этот вопрос пока нет. Попробуйте найти его через форму поиска.

Вас заинтересует