• Предмет: Математика
  • Автор: clevermanev
  • Вопрос задан 9 лет назад

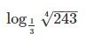
Найди логарифм корня степени 4 числа 243 по основанию одной второй.

Приложения:

Ответы

Ответ дал: dimanchyck2000
0
log(1/3) (⁴√243) = log(1/3) (3^5/4) = -log(3) (3^5/4) = -5/4 = -1,25
Ответ: -1,25
Ответ дал: clevermanev
0
А как вы разложили ⁴√243, что получили 3^5/4?
Ответ дал: dimanchyck2000
0
⁴√243 = ⁴√3^5 = 3^5/4
Вас заинтересует