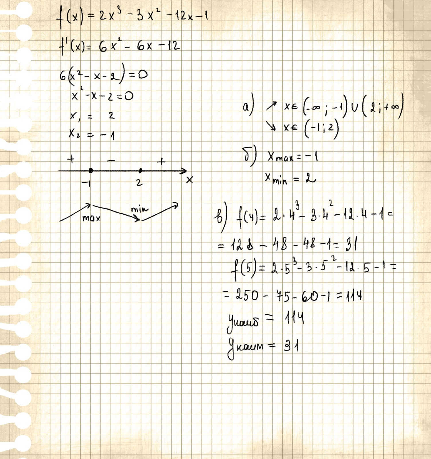
Дана функция: f(x)=2x^3-3x^2−12x−1
Найдите:
а) промежутки возрастания и убывания;
б) ее точки максимума и минимума;
в) наибольшее и наименьшее ее значения на промежутке [4; 5].
Ответы
Ответ дал:
0
Решение данного задания
Приложения:

Вас заинтересует
2 года назад
2 года назад
7 лет назад
7 лет назад
9 лет назад
9 лет назад