• Предмет: Алгебра
  • Автор: bogdanova1204
  • Вопрос задан 9 лет назад

Помогите пожалуйста!
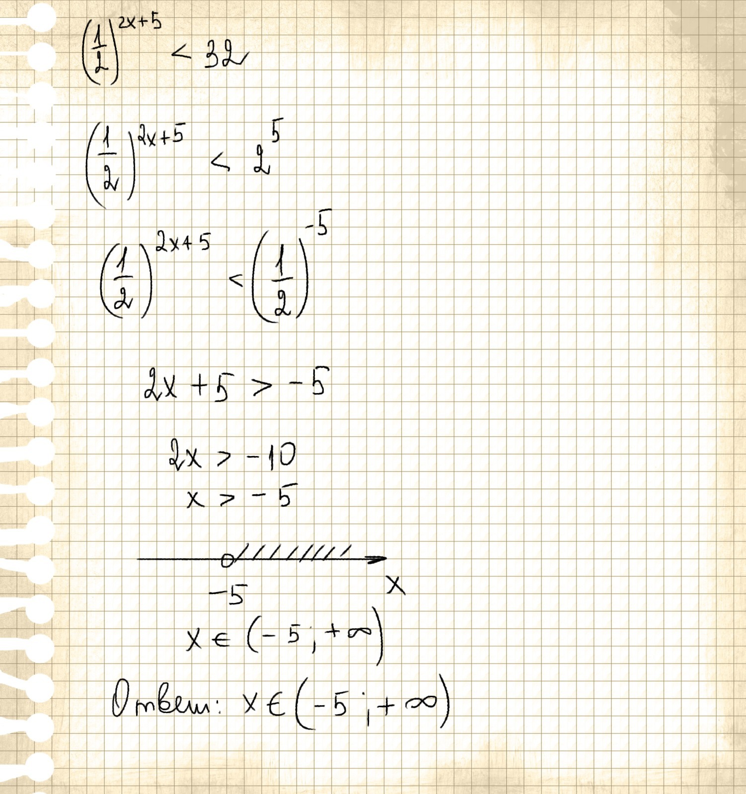
Решите неравенство (1/2)^2х+5<32

Ответы

Ответ дал: KseniaHarlequin
0
Решение данного неравенства
Приложения:
Вас заинтересует