• Предмет: Алгебра
  • Автор: azazadron
  • Вопрос задан 9 лет назад

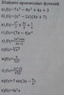
Найдите производные функций

Приложения:

Ответа на этот вопрос пока нет. Попробуйте найти его через форму поиска.

Вас заинтересует