• Предмет: Алгебра
  • Автор: drwnd
  • Вопрос задан 9 лет назад

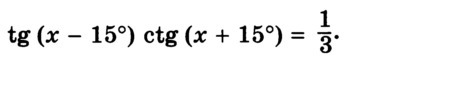
пожалуйста, объясните как решать

Приложения:

Ответы

Ответ дал: Denik777
0
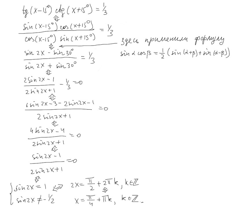
Решение прицеплено в картинке
Приложения:
Ответ дал: drwnd
0
спасибо Вам, добрый человек
Вас заинтересует