• Предмет: Математика
  • Автор: gallyamovdenis
  • Вопрос задан 9 лет назад

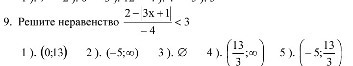
Решите неравенство...

Приложения:

Ответы

Ответ дал: Gerren
0
2-|3x+1|>-12
2-(3x+1)>-12   2-3x-1>-12   -3x>-13   x<13/3
2-(-3x-1)>-12    2+3x+1>-12    3x>-15   x>-5       =>          -5<x<13/3
ответ 5 (-5;13/3)
    

Вас заинтересует