• Предмет: Математика
  • Автор: artemmikhaylov21
  • Вопрос задан 9 лет назад

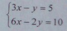
Решить систему уравнений методом алгебраического сложения

Приложения:

Ответы

Ответ дал: Flash3146
0
{3x-y=5|*2
{6x-2y=10
-{6x-2y=10
-{6x-2y=10
0x=0
любой корень
Вас заинтересует