Ответы
Ответ дал:
0
4
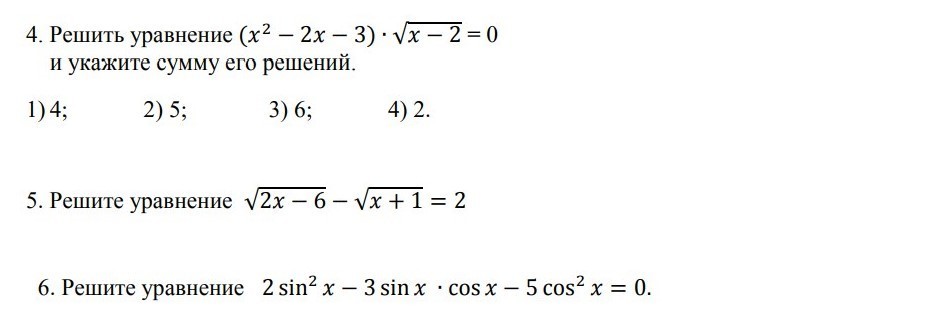
ОДЗ
x-2≥0⇒x≥2⇒x∈[2;∞)
[x-2=0⇒x=2
[x²-2x-3=0⇒x=3 u x=-1∉ОДЗ
x1+x2=2 U x1*x2=-3⇒x1=3 U x2=-4
2+3=5
Ответ 2
5
ОДЗ
{2x-6≥0⇒2x≥6⇒x≥3
{x+1≥0⇒x≥-1
x∈[3;∞)
√(2x-6)=√(x+1)+2
возведем в квадрат
2x-6=x+1+4√(x+1)+4
4√(x+1)=x-11
x-11≥0⇒x≥11
16(x+1)=x²-22x+121
x²-22x+121-16x-16=0
x²-38x+105=0
x1+x2=38 U x1*x2=105
x1=35 U x2=3 не удов усл
Ответ х=35
6
разделим на сos²x
2tg²x-3tgx-5=0
tgx=a
2a²-3a-5=0
D=9+40=49
a1=(3-7)/4=-1⇒tgx=-1⇒x=-π/4+πk,k∈z
a2=(3+7)/4=2,5⇒tgx=2,5⇒x=arctg2,5+πk,k∈z
ОДЗ
x-2≥0⇒x≥2⇒x∈[2;∞)
[x-2=0⇒x=2
[x²-2x-3=0⇒x=3 u x=-1∉ОДЗ
x1+x2=2 U x1*x2=-3⇒x1=3 U x2=-4
2+3=5
Ответ 2
5
ОДЗ
{2x-6≥0⇒2x≥6⇒x≥3
{x+1≥0⇒x≥-1
x∈[3;∞)
√(2x-6)=√(x+1)+2
возведем в квадрат
2x-6=x+1+4√(x+1)+4
4√(x+1)=x-11
x-11≥0⇒x≥11
16(x+1)=x²-22x+121
x²-22x+121-16x-16=0
x²-38x+105=0
x1+x2=38 U x1*x2=105
x1=35 U x2=3 не удов усл
Ответ х=35
6
разделим на сos²x
2tg²x-3tgx-5=0
tgx=a
2a²-3a-5=0
D=9+40=49
a1=(3-7)/4=-1⇒tgx=-1⇒x=-π/4+πk,k∈z
a2=(3+7)/4=2,5⇒tgx=2,5⇒x=arctg2,5+πk,k∈z
Вас заинтересует
2 года назад
2 года назад
7 лет назад
9 лет назад
9 лет назад
10 лет назад
10 лет назад