Ответы
Ответ дал:
0
loq2(2*x)-2*loq2(x)-3<0 ОДЗ x>0
loq2(2*x)-loq2(x^2)<3
loq2(2*x/x^2)<loq2(8) Равны основания, 2>1, знак сохраняется и для выражений
2*x/x^2<8
2/x<8
2<8*x
x>1/4 хЄ(1/4; +бесконечность)
loq2(2*x)-loq2(x^2)<3
loq2(2*x/x^2)<loq2(8) Равны основания, 2>1, знак сохраняется и для выражений
2*x/x^2<8
2/x<8
2<8*x
x>1/4 хЄ(1/4; +бесконечность)
Ответ дал:
0
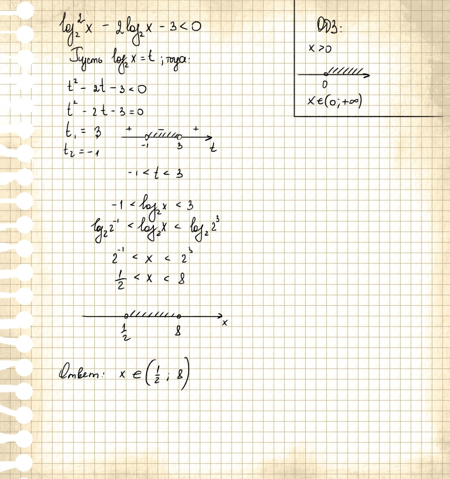
Решение данного задания
Приложения:

Вас заинтересует
2 года назад
6 лет назад
6 лет назад
9 лет назад
10 лет назад