Ответы
Ответ дал:
0
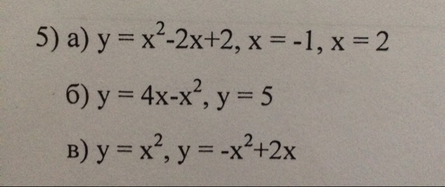
а)
y=x²-2x+2 x=-1 x=2
S=₋₁∫²+(x²-2x+2)dx=(x³/3-x²+2x) |²₋₁=2³/3-2²+2*2-((-1)³/3-(-1)²+2*(-1))=
=8/3-4+4-(-1/3-1-2)=2²/₃+3¹/₃=6.
Ответ: S=6 кв. ед.
б) ∉
в)
y=x^2 y=-x^2+2x
x²=-x²+2x
2x²-2x=0 |÷2
x²-x=0
x*(x-1)=0
x₁=0 x₂=1
S=₀∫¹(-x²+2x-x²)dx=₀∫¹(2x-2x²)dx=2*₀∫¹(x-x²)dx=2*(x²/2-x³/3) |¹₀=
=2*(1²/2-1³/3-0)=2*(1/2-1/3)=2*(1/6)=1/3.
Ответ: S=1/3=0,33 кв.ед.
y=x²-2x+2 x=-1 x=2
S=₋₁∫²+(x²-2x+2)dx=(x³/3-x²+2x) |²₋₁=2³/3-2²+2*2-((-1)³/3-(-1)²+2*(-1))=
=8/3-4+4-(-1/3-1-2)=2²/₃+3¹/₃=6.
Ответ: S=6 кв. ед.
б) ∉
в)
y=x^2 y=-x^2+2x
x²=-x²+2x
2x²-2x=0 |÷2
x²-x=0
x*(x-1)=0
x₁=0 x₂=1
S=₀∫¹(-x²+2x-x²)dx=₀∫¹(2x-2x²)dx=2*₀∫¹(x-x²)dx=2*(x²/2-x³/3) |¹₀=
=2*(1²/2-1³/3-0)=2*(1/2-1/3)=2*(1/6)=1/3.
Ответ: S=1/3=0,33 кв.ед.
Вас заинтересует
2 года назад
7 лет назад
7 лет назад
10 лет назад
10 лет назад
10 лет назад