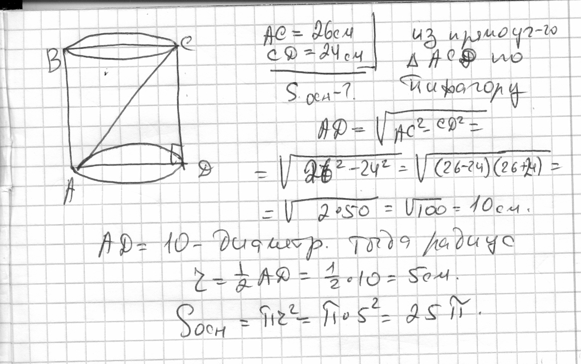
Диагональ осевого сечения цилиндра 26 см., высота цилиндра равна 24см. Найдите площадь основания цилиндра.
Полное решение с дано и чертежом.
Ответы
Ответ дал:
0
Диагональ осевого сечения цилиндра 26 см., высота цилиндра равна 24см. Найдите площадь основания цилиндра.
Полное решение с дано и чертежом.
Полное решение с дано и чертежом.
Приложения:

Вас заинтересует
2 года назад
2 года назад
6 лет назад
6 лет назад
9 лет назад
9 лет назад
10 лет назад