• Предмет: Геометрия
  • Автор: dana23melnyk
  • Вопрос задан 9 лет назад

знайдіть координати перетину парабол у=2х^2-7х+8 і у=5х-2х^2

Ответы

Ответ дал: MaxikMK
0
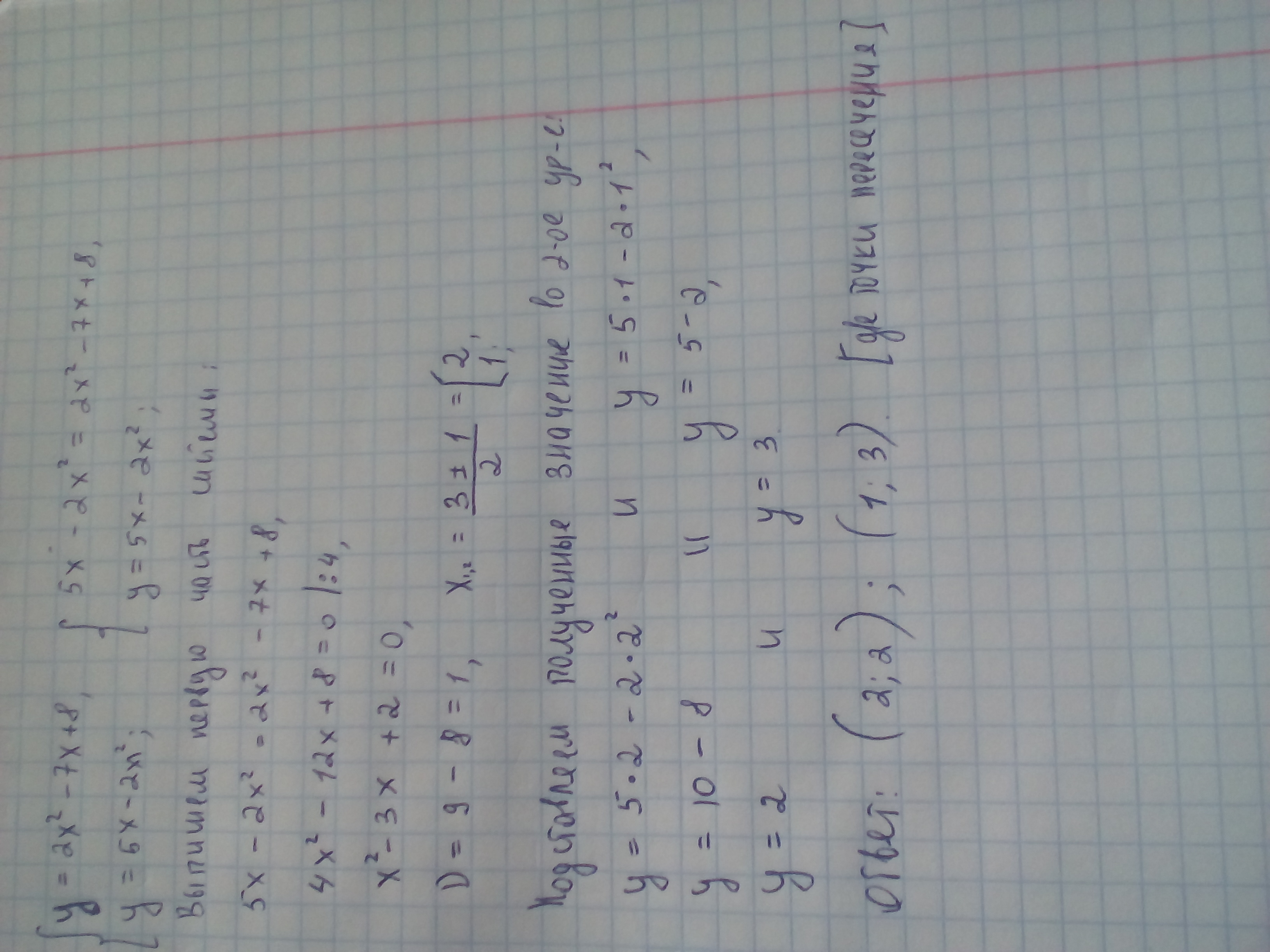
Для того, что бы найти координату пересечения необходимо решить систему уравнений:
{y = 2x² - 7x + 8,
{y = 5x - 2x².
Ответ: (2; 2); (1; 3).
Приложения:
Ответ дал: MaxikMK
0
Соре, ща допишу
Вас заинтересует