Ответы
Ответ дал:
0
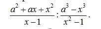
Разложим на множители вторую дробь
(a^3-x^3)/(x^2-1)=(a-x)(a^2+ax+x^2)/(x-1)(x+1)
(a^2+ax+x^2)/(x-1):(a-x)(a^2+ax+x^2)/(x-1)(x+1)=((a-x)(a^2+ax+x^2)/(x-1)(x+1))*(x-1)(x+1)/(a-x)(a^2+ax+x^2)=(x-1)/(a-x)
(a^3-x^3)/(x^2-1)=(a-x)(a^2+ax+x^2)/(x-1)(x+1)
(a^2+ax+x^2)/(x-1):(a-x)(a^2+ax+x^2)/(x-1)(x+1)=((a-x)(a^2+ax+x^2)/(x-1)(x+1))*(x-1)(x+1)/(a-x)(a^2+ax+x^2)=(x-1)/(a-x)
Ответ дал:
1
= (а^2 + ax + x^2)*(x -1)(x+1) / (x-1)*(a -x)(a^2+ax+x^2) = (x+1)/(a-x)
--------------------------------------------------------------------
Примечание:
а^3 - x^3 = (a-x)(a^2 +ax +x^2)
x^2 - 1 = (x-1)(x+1)
--------------------------------------------------------------------
Примечание:
а^3 - x^3 = (a-x)(a^2 +ax +x^2)
x^2 - 1 = (x-1)(x+1)
Вас заинтересует
2 года назад
2 года назад
2 года назад
3 года назад
3 года назад
9 лет назад