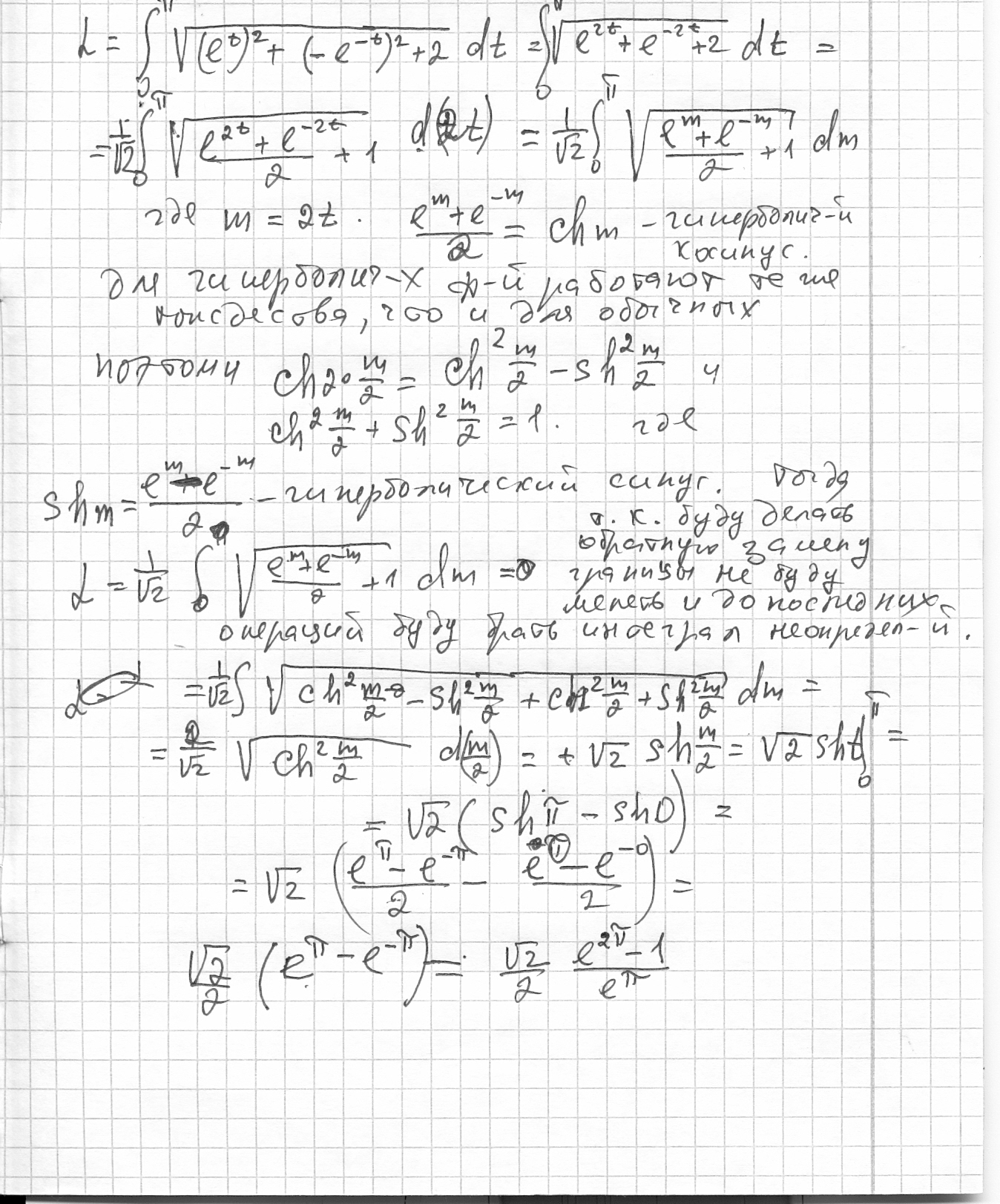
Найдите длину дуги кривой x=e^t, y=e^-t, z=t*корень из 2 между двумя её точками М1(t=0) и М2(t=Пи)
Ответы
Ответ дал:
1
Найдите длину дуги кривой x=e^t, y=e^-t, z=t*корень из 2 между двумя её точками М1(t=0) и М2(t=Пи)
В принципе, замену переменных не нужно было делать, просто занести под знак дифференциала 2 и работать так. Когда это заметил было поздно, переписывать стало лень.
И еще одно, знаками подынтегральной функции я не стал заморачиваться, так как их-под интеграла выходит заведомо положительная функция в указанных границах. Но в некоторых случаях этот знак может стать большой проблемой.
В принципе, замену переменных не нужно было делать, просто занести под знак дифференциала 2 и работать так. Когда это заметил было поздно, переписывать стало лень.
И еще одно, знаками подынтегральной функции я не стал заморачиваться, так как их-под интеграла выходит заведомо положительная функция в указанных границах. Но в некоторых случаях этот знак может стать большой проблемой.
Приложения:
Вас заинтересует
2 года назад
2 года назад
2 года назад
3 года назад
9 лет назад
9 лет назад