• Предмет: Алгебра
  • Автор: лорролКЕ
  • Вопрос задан 2 года назад

С решением пожалуйста

Приложения:

Ответы

Ответ дал: jemcuq
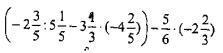
1
(_13/5*5/26+10/3*22/5)+5/6*8/3=-1/2+44/3+20/9=-9+264+40/18=295/18=16
7/18
Вас заинтересует