Ответы
Ответ дал:
0
С7Н16 гептан в присутствии катализаторов подвергается циклизации и дегидрированию. при этом получается метилбензол или толуол. С7Н16---> CH3-C6H5 + 4H2. Затем толуол бромируют в присутствии катализатора (на свету
галогенирование идет в боковую цепь. СН3-С6Н5 + Br2--->CH3-C6H4Br + HBr.
CH3-C6H4Br + NaOH--->CH3-C6H4-OH + NaBr
галогенирование идет в боковую цепь. СН3-С6Н5 + Br2--->CH3-C6H4Br + HBr.
CH3-C6H4Br + NaOH--->CH3-C6H4-OH + NaBr
olhim:
Вы описали образование крезола.
Ответ дал:
0
Первая реакция, конечно, дегидроциклизация гептана на никелевом катализаторе с образованием толуола (рис. 1)
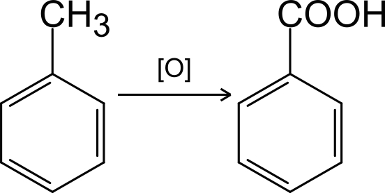
Дальше окисление толуола в бензойную кислоту (рис. 2)
Ну и наконец стадия окислительного декарбоксилирования с образованием фенола (рис. 3)
Последняя стадия включает в себя несколько промежуточных реакций, с образованием бензоата меди, бензоилового эфира салициловой кислоты, салициловой кислоты и фенилбензоата, что в конечном итоге приводит нас к образованию фенола.
Дальше окисление толуола в бензойную кислоту (рис. 2)
Ну и наконец стадия окислительного декарбоксилирования с образованием фенола (рис. 3)
Последняя стадия включает в себя несколько промежуточных реакций, с образованием бензоата меди, бензоилового эфира салициловой кислоты, салициловой кислоты и фенилбензоата, что в конечном итоге приводит нас к образованию фенола.
Приложения:



Вас заинтересует
1 год назад
1 год назад
2 года назад
2 года назад
3 года назад
3 года назад
8 лет назад