Ответы
Ответ дал:
0
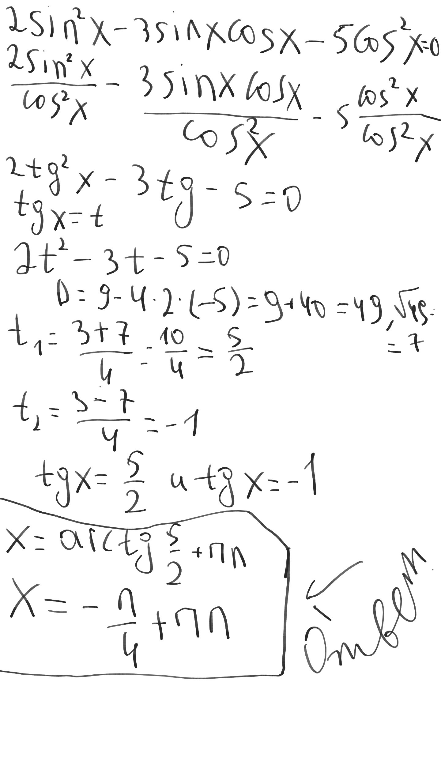
Это метод решения, если интересно, называется приведение к однородному уравнению(когда нужно почленно разделить на какое-либо выражение). В этом случае нужно разделить каждый член уравнения на cos^2 (x). Но нужно быть внимательнее, потому что x не должен быть равен pi/2+pi n. Но в этом случае этого корня нет, так что знаменатель не обратится в ноль.
Приложения:

Вас заинтересует
1 год назад
2 года назад
2 года назад
3 года назад
3 года назад
8 лет назад