• Предмет: Алгебра
  • Автор: лорролКЕ
  • Вопрос задан 2 года назад

С решением пожалуйста

Приложения:

Ответы

Ответ дал: Юленька194
0
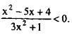
 \frac{x^2-5x+4}{3x^2+1} \ \textless \ 0
Знаменатель ВСЕГДА принимает только положительные значения, значит достаточно, чтобы числитель был меньше нуля
 x^2-5x+4 \ \textless \ 0 \\ (x-1)(x-4)\ \textless \ 0

Ответ: (1;4)
Приложения:
Вас заинтересует