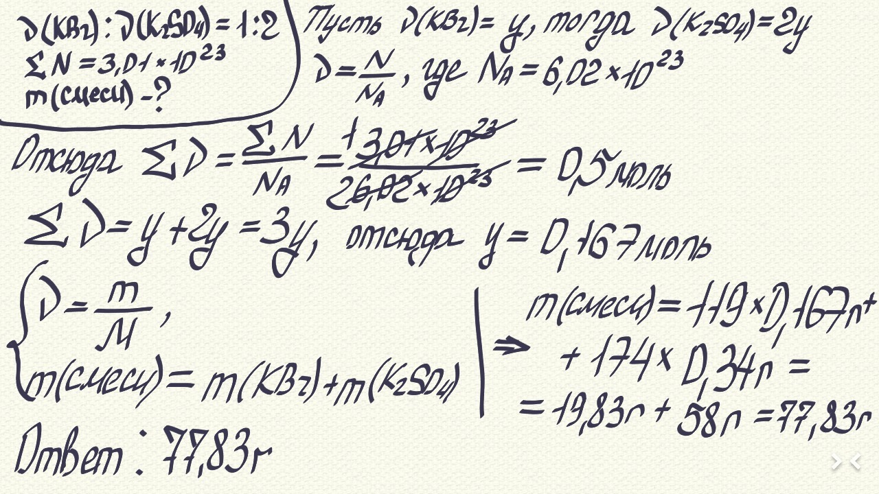
Мольное отношение КВr и K2SO4 в смеси равно соответственно 2:1, а общее число атомов в смеси равно 3,01•10^23. Рассчитайте массу смеси.
Ответы
Ответ дал:
2
Поняла ошибку, сейчас напечатаю (внимание: во вложении нет решения, при разборе задачи не сверяйтесь с ним)
Сумма АТОМОВ равна 3,01*10^23, в таком случае составим уравнения:
Nат(KBr) = 2*Nмол(KBr) (так как в молекуле бродида калия только два атома)
Nат(K2SO4) = 7*Nмол(K2SO4)
В данных ур-ниях произведём замену переменных через другие с помощью ф-лы:
v=N/Na (где v - количество вещества, Na - число Авогадро, численно равное 6,02*10^23), а затем сложим их и приравняем к числу атомов в смеси (дано условием).
Тогда вывернем это равенство и получим следующее ур-ние при подстановке:
4*v(KBr) + 14*v(K2SO4) = 1
Здесь самое время ввести неизвестную: пусть количество вещества KBr = 2y (моль), тогда v(K2SO4) = y (моль)
Ур-ние примет вид:
22y = 1
y = 0,045 (моль)
Массу смеси найти просто: она равна сумме масс её компонентов.
m(смеси) = m(KBr) + m(K2SO4)
(поставим в ур-ние эту формулу: v = m / M, где M - молярная масса вещества, M(KBr) = 119 г/моль, М(К2SO4) = 174 г/моль)
m(смеси) = 119*v(KBr) + 174*v(K2SO4) = 119*2y + 174*y = 10,81 г + 7,9 г = 18,71 г.
Задача решена.
Сумма АТОМОВ равна 3,01*10^23, в таком случае составим уравнения:
Nат(KBr) = 2*Nмол(KBr) (так как в молекуле бродида калия только два атома)
Nат(K2SO4) = 7*Nмол(K2SO4)
В данных ур-ниях произведём замену переменных через другие с помощью ф-лы:
v=N/Na (где v - количество вещества, Na - число Авогадро, численно равное 6,02*10^23), а затем сложим их и приравняем к числу атомов в смеси (дано условием).
Тогда вывернем это равенство и получим следующее ур-ние при подстановке:
4*v(KBr) + 14*v(K2SO4) = 1
Здесь самое время ввести неизвестную: пусть количество вещества KBr = 2y (моль), тогда v(K2SO4) = y (моль)
Ур-ние примет вид:
22y = 1
y = 0,045 (моль)
Массу смеси найти просто: она равна сумме масс её компонентов.
m(смеси) = m(KBr) + m(K2SO4)
(поставим в ур-ние эту формулу: v = m / M, где M - молярная масса вещества, M(KBr) = 119 г/моль, М(К2SO4) = 174 г/моль)
m(смеси) = 119*v(KBr) + 174*v(K2SO4) = 119*2y + 174*y = 10,81 г + 7,9 г = 18,71 г.
Задача решена.
Приложения:
irinamurashko2:
Ответ не верный
Перепутал моли солей: поменяйте местами игреки в начале, и при подстановке в конце, ответ сойдётся
Теперь верно! :)
Вас заинтересует
2 года назад
2 года назад
2 года назад
2 года назад
3 года назад
3 года назад
9 лет назад