Ответы
Ответ дал:
1
Ответ дал:
1
1


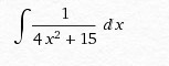
u=2x/√15,du=2dx/√15


2
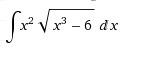
u=x³-6,du=3x²dx

u=2x/√15,du=2dx/√15
2
u=x³-6,du=3x²dx
Вас заинтересует
2 года назад
2 года назад
2 года назад
2 года назад
3 года назад
3 года назад
9 лет назад
9 лет назад