Ответы
Ответ дал:
2
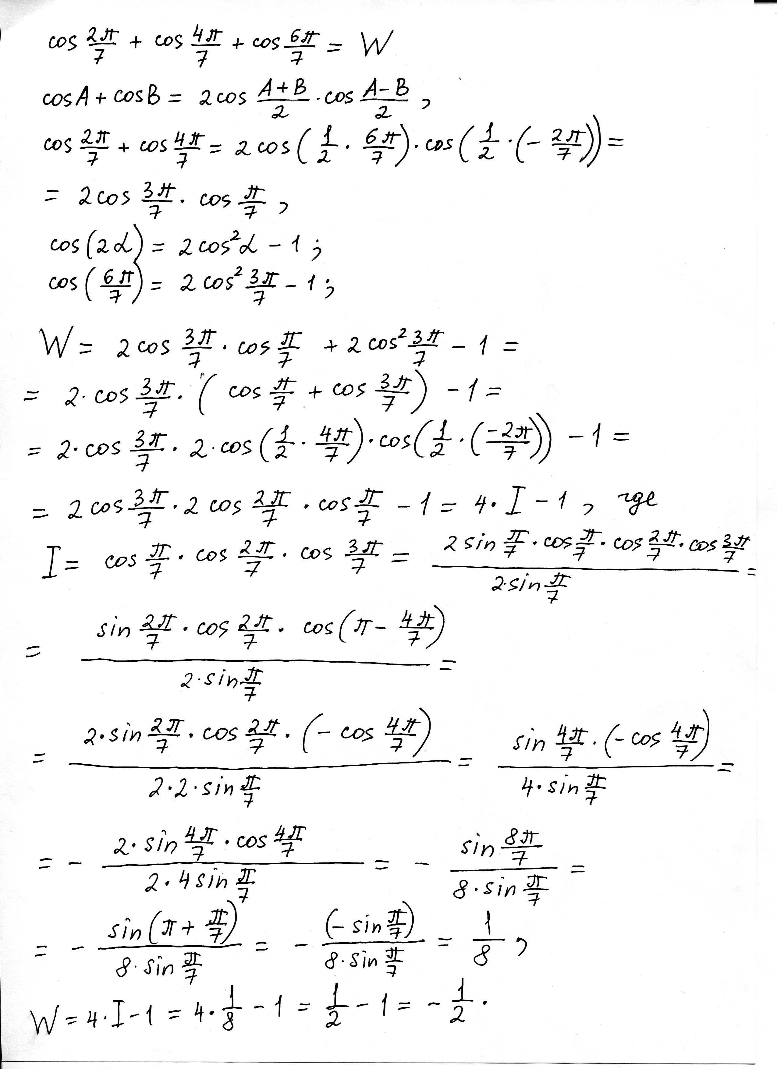
Решение на листочке...
Приложения:

Аноним:
СПС ОГРОМНОЕ
Ответ дал:
2
Вас заинтересует
1 год назад
1 год назад
2 года назад
2 года назад
3 года назад
3 года назад
8 лет назад
8 лет назад