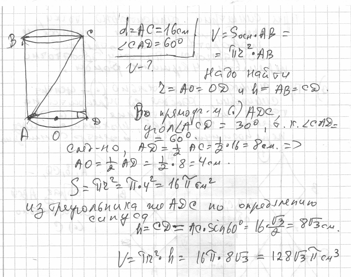
Диаганали осевого сечения прямого кругового цилиндра равна d=16см и составляется с плоскостью основания угол 60 найдите обьем цилиндра
Ответы
Ответ дал:
0
Диаганали осевого сечения прямого кругового цилиндра равна d=16см и составляется с плоскостью основания угол 60 найдите обьем цилиндра
Приложения:

Вас заинтересует
1 год назад
2 года назад
2 года назад
3 года назад
8 лет назад