Ответы
Ответ дал:
1
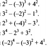
2^2-(-3^3)+4^2=4+27+16=47
3^2-(-2^2)-1^3=9+4-1=12
2^3+(-4^2)-3^3=8+16-27=-3
3^4-2^3+3^2=81-8+9=82
(-2^4)-(-3^2)+4^1=16+9+4=16+13=29
3^2-(-2^2)-1^3=9+4-1=12
2^3+(-4^2)-3^3=8+16-27=-3
3^4-2^3+3^2=81-8+9=82
(-2^4)-(-3^2)+4^1=16+9+4=16+13=29
Вас заинтересует
2 года назад
2 года назад
3 года назад
9 лет назад