• Предмет: Алгебра
  • Автор: danyakrivoshee
  • Вопрос задан 2 года назад

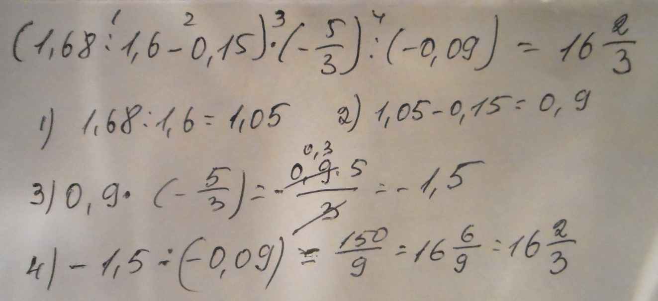
Вычислите значение выражения(1,68:1,6-0,15)*(- \frac{5}{3} ):(-0,09)

Ответы

Ответ дал: Аноним
1
Решение задания приложено
Приложения:
Ответ дал: miron2077
1
!!!!!!!!!!!!!!!!!!!!!!!!!!!
Приложения:

Аноним: Мирону. Когда перемножаются неск. дробей, лучше их под одну черту, сократится больше.
miron2077: Я это знаю, но часто требуется по действиям, поэтому на всякий случай сделал так!
Аноним: ))))
Вас заинтересует