Ответы
Ответ дал:
1
Пишите, если что не так.
Приложения:
Ответ дал:
0
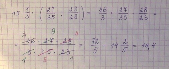
1) 27/35 : 23/28 = 27•28:(35•23) =
= 27•4:(5•23) = 108/115 - частное от деления числа 27/35 на 23/28
2) 15 1/3 • 108/115 = 46/3 • 108/115 =
= 46•36/115 = 46•36/(5•23) =
= 2•36/5 = 72/5 = 14 2/5
= 27•4:(5•23) = 108/115 - частное от деления числа 27/35 на 23/28
2) 15 1/3 • 108/115 = 46/3 • 108/115 =
= 46•36/115 = 46•36/(5•23) =
= 2•36/5 = 72/5 = 14 2/5
Вас заинтересует
2 года назад
2 года назад
2 года назад
2 года назад
3 года назад
9 лет назад
9 лет назад