Ответы
Ответ дал:
1
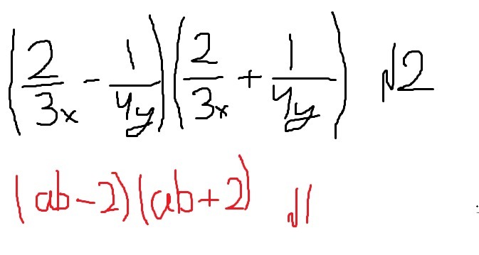
a²b²-4=(ab-2)(ab+2)
4/9x²-1/16y²=(2/3x-1/4y)(2/3x+1/4y)
4/9x²-1/16y²=(2/3x-1/4y)(2/3x+1/4y)
Ответ дал:
0
1) (ab-2)(ab+2)
2) (2/3x-1/4y)(2/3x+1/4y)
2) (2/3x-1/4y)(2/3x+1/4y)
Приложения:
Вас заинтересует
2 года назад
2 года назад
2 года назад
2 года назад
3 года назад
3 года назад
9 лет назад