Помогите пожалуйста!!!Буду очень благодарен)))
Приложения:
Аноним:
это задание МФТИ?
Нет
Авиационного техникума
Ну что,поможете?
Ответы
Ответ дал:
1
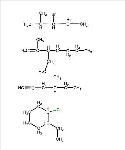
Задание №1 на снимке
Задание №2
1) Al4C3 + 12H2O --> 4Al(OH)3 + 3CH4 (это метан)
2) 2CH4 --> C2H2(ацетилен) + 3H2 (над стрелочкой укажи знак температуры - t с кружком над этой буквой)
3) 3C2H2 --> C6H6(бензол) (над стрелочкой указать: 600°C, C акт.)
4) C6H6 + Cl2 --> C6H5Cl(хлорбензол) + HCl
Задание №3
C6H6 + Cl2 --> C6H5Cl + HCl
n(C6H6) = m / M = 100 / 78 = 1,28 моль
n(C6H5Cl) = n(C6H6) (смотри коэффиценты)
m(C6H5Cl) = n * M = 1,28 * 112,5 = 144 г
Вычислим выход продукта реакции от теоретического.
ω(C6H5Cl) = (111,4 / 144) * 100% = 77,361%
Ответ: 77,361%
Задание №2
1) Al4C3 + 12H2O --> 4Al(OH)3 + 3CH4 (это метан)
2) 2CH4 --> C2H2(ацетилен) + 3H2 (над стрелочкой укажи знак температуры - t с кружком над этой буквой)
3) 3C2H2 --> C6H6(бензол) (над стрелочкой указать: 600°C, C акт.)
4) C6H6 + Cl2 --> C6H5Cl(хлорбензол) + HCl
Задание №3
C6H6 + Cl2 --> C6H5Cl + HCl
n(C6H6) = m / M = 100 / 78 = 1,28 моль
n(C6H5Cl) = n(C6H6) (смотри коэффиценты)
m(C6H5Cl) = n * M = 1,28 * 112,5 = 144 г
Вычислим выход продукта реакции от теоретического.
ω(C6H5Cl) = (111,4 / 144) * 100% = 77,361%
Ответ: 77,361%
Приложения:
Вас заинтересует
2 года назад
2 года назад
2 года назад
3 года назад
9 лет назад