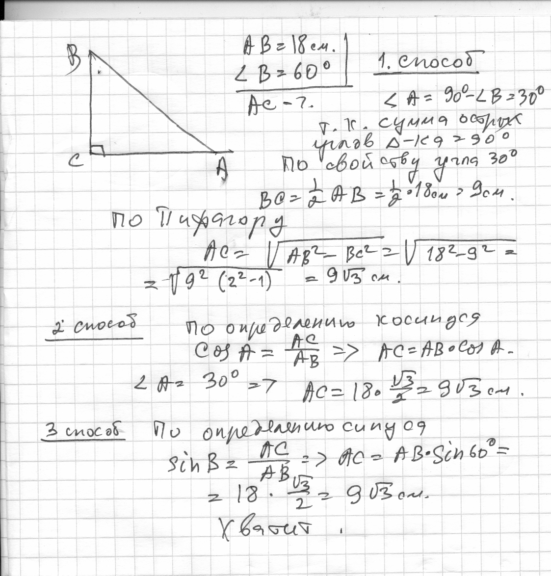
в прямоугольном треугольнике гипотенуза равна 18 м, а угол при вершине B равен 60°. найдите длину катета АС.
Ответы
Ответ дал:
7
В прямоугольном треугольнике гипотенуза равна 18 м, а угол при вершине B равен 60°. найдите длину катета АС.
Приложения:
Ответ дал:
2
Т.к. угол при вершине В равен 60°, то угол при вершине А равен 30°. Катет, лежащий против угла в 30° (здесь это ВС) равен половине гипотенузы, следовательно, ВС = 9 м.
По теореме Пифагора АВ`2 = ВС`2 + АС`2
18`2 = 9`2 + АС`2
АС`2 = 324 - 81 = 243
АС = √243 = √81 * √3 = 9√3
Ответ: АС = 9√3 м
По теореме Пифагора АВ`2 = ВС`2 + АС`2
18`2 = 9`2 + АС`2
АС`2 = 324 - 81 = 243
АС = √243 = √81 * √3 = 9√3
Ответ: АС = 9√3 м
Вас заинтересует
2 года назад
3 года назад
3 года назад
9 лет назад